设为首页 收藏本站
查看: 2239|回复: 0

[经验分享] Aruba 无线配置

[复制链接]
累计签到:1 天
连续签到:1 天
发表于 2014-11-20 09:09:37 | 显示全部楼层 |阅读模式
                      Aruba 无线配置
  Aruba在无线配置方面的主要特点:使用以profile为单元的方式分解无线配置参数,根据无线配置参数的功能,分解成一个个独立的profiles,下层Profile可以提供给多个上层profile进行使用,上层profile也可以包含多个不同功能的下层profile。以这样的方式达到参数重用的最大化,减少参数保存冗余。例如SSID Profile(包含AP的名称,加密方式等等)包含EDCA Parameters Station Profile(Clients到AP的流量优先级参数),EDCA Paramters AP Profile(AP到Clients的流量优先级参数),High-throughput SSID Profile(802.11n的40MH的利用),这三个Profile还可以被其他的SSID Profile包含。
  一、AP
  Aruba以AP组的方式保存具有相同配置AP的所有参数。所有被WAC发现的AP(还未进行配置)都被默认分配到一个"default"的AP组,一个AP只能属于一个AP组,多个AP可以属于同一个AP组。可以建立新的AP组,然后把特定的AP分配到新建的AP组。可以修改AP组的参数,使修改参数应用到所有属于这个AP组的AP,也可以对一个特定的AP进行参数修改,修改的参数将覆盖AP组对应的参数。
  1、创建一个AP组(例如:temp):
   wKiom1RssHWTzhOXAABn_DYHj4k704.jpg
  2、把一个AP分配到特定的AP组:
  Configuration > Wireless> AP Installation,选择特定的AP,点击provision.
   wKiom1RssHbwzbdvAACQICxT5yc714.jpg
  在AP Group中选择特定的AP组名称(例:选择上面创建的temp组)。
  注:修改一个AP所属的AP组,需要重启AP才生效。
  二、Virtual AP
  AP发送的Beacon,probe respones包中包含了WLAN的SSID,认证方式,支持的速率等信息,STA关联到BSSID(通常为AP的MAC地址)。在Aruba网络中,AP在一个WLAN中使用一个唯一的BSSID,一个物理的AP可以支持多个WLAN,WLAN配置应用到一个AP的BSSID称为Virtual AP。Virtual AP可以配置到AP组和特定的AP。
   wKioL1RssO6zo1dnAACuOIebpqw313.jpg
  如上图所示,AP组"Sangfor "包含的Virtual AP。
  可以通过在一个物理AP上设置多个Virtual AP而提供不同的服务,例如,你可以配置一个WLAN给Guest用户提供有限的访问,配置另一个WLAN给职员提供访问,也可以给这两个WLAN以不同的认证方式,连接速率等等。
  三、ArubaProfile配置
  Aruba使用profile的方式分组所有的配置供AP组和AP进行使用。在Advanced Services>All
  Profiles中显示了所有的Profile。
   wKioL1RssO-B-5dyAADjGzGTVJI791.jpg
  Profiles主要分为如下几大块:AP Profiles,RF Management Profiles,Wireless LAN Profiles,Mesh Profiles,QOS Profiles,IDS Profiles,Other Profies。主要Profiles及子Profiles的功能如下:
  3.1Wireless LAN Profiles
  WLAN Profile包含如下其他的Profile:
   wKioL1RssPGBnyfEAAFl6rrp6HQ893.jpg
  1、802.11k Profile:管理设置802.11k协议。
  2、SSID Profile:配置网络认证和加密类型等。SSID Profile同时包含EDCA Parameters Station Profile(Clients到AP的流量优先级参数),EDCA Paramters AP Profile(AP到Clients的流量优先级参数),High-throughput SSID Profile(802.11n的40MH的利用),这三个Profile还可以被其他的SSID Profile包含。
   wKioL1RssPGwOm9JAABiP2Irhxs603.jpg
   wKioL1RssPSySuGcAADWaX44gcw002.jpg
  SSID Profile可以设置认证方式,加密类型,DTIM间隔,Beacon间隔,速率,RTS Threshold等等。
  3、High-throughput SSID profile:高吞吐量Profile可以开启/关闭是否启用802.11n的40MHZ带宽等等。
  4、Virtual AP profile:定义了Dos防御,快速漫游,允许使用的频带(a,b/g/n,all)等等。如下图所示:
   wKioL1RssPjBIqIgAAHFGVyHlYc495.jpg
  同时还包含了其他Profile:AAA Profile, 802.11K Profile, and a High-throughput SSID profile。
  5、AAA profile:定义了WLAN用户的认证设置,角色。
   wKiom1RssIPxqKvvAAGirb-f47w288.jpg
  6、XML API server profile—Specifies the IP address of an external XML API server.
  7、RFC 3576 server—Specifies the IP address of a RFC 3576 RADIUS server
  8、MAC authentication profile:定义了MAC地址认证的规则,MAC地址的分隔符,MAC地址16字符的大小写格式,和最大认证次数(超过次值就进入到黑名单)。
  3.2AP Profiles
  AP Profiles 配置AP操作参数,无线设置,端口操作,SNMP信息等。
   wKiom1RssITxCxHrAACvoHw8vzk715.jpg
  1、AP system profile:定义了WAC的管理选项,local,backup,masterWAC的IP地址,AP重启的丢失心跳数,设置维护模式,AP的LED操作模式等等。
  2、Regulatory domain:定义了国家地区(不同国家信道支持不同,例如中国1-13,美国1-11),及高吞吐量和遗留(legacy)有效的信道。
  3、Wired AP profile:控制802.11帧使用GRE隧道传输到WAC。
  4、Ethernet interface profile:设置AP的以太网连接的速率和双工模式,配置速率依靠于端口类型。
  5、AP Authorization Profile
  6、EDCA parameters profile (Station):Client到AP流量优先级参数。
  7、EDCA parameters profile (AP):AP到Client流量优先级参数.。
  3.3QOS Profiles
  1、VoIP call admission control profile:设置限制每个AP的VOIP接入数目,超过的就忽略。
   wKiom1RssIXSq6uLAAFkqmZtdeQ440.jpg
  2、Traffic management profile:分配可用带宽的最少百分比给指定的VirtualAP。及设置Report的时间间隔。
   wKiom1RssIbR9_POAACKcM9PRJY281.jpg
  3、WMM Traffic management profile:配置WMM流量,是否整形,及使用百分比。
   wKioL1RssP6zyXToAAB5gxoe_FI108.jpg
  3.4RF Management Profiles
  1、802.11a radio profile:定义AP在5GHZ频带的无线设置,包含ARM profile和高吞吐量profiile。
  2、802.11g radio profile:定义AP在2.4GHZ频带的无线设置。
  3、ARM profile:为AP自动选择干扰最少的信道和传输功率。
  4、High-throughput radio profile:管理高吞吐量的设置。
  5、RF optimization profile:使RF达到最优的设置。
   wKioL1RssQCCih1MAABru6Ts9lc219.jpg
  6、RF event thresholds profile:
   wKioL1RssQbCGPNkAAE5KjxB5x8054.jpg
  3.5Mesh Profiles
  1、Mesh high-throughput SSID profile:
   wKiom1RssJKRY9uJAAFRdypyNpk389.jpg
  2、Mesh radio profile
   wKioL1RssQ6Qr-vNAACGav_T9t0903.jpg
  3、Mesh cluster profile
   wKioL1RssRLiYEw5AAJuO0NH5EY202.jpg
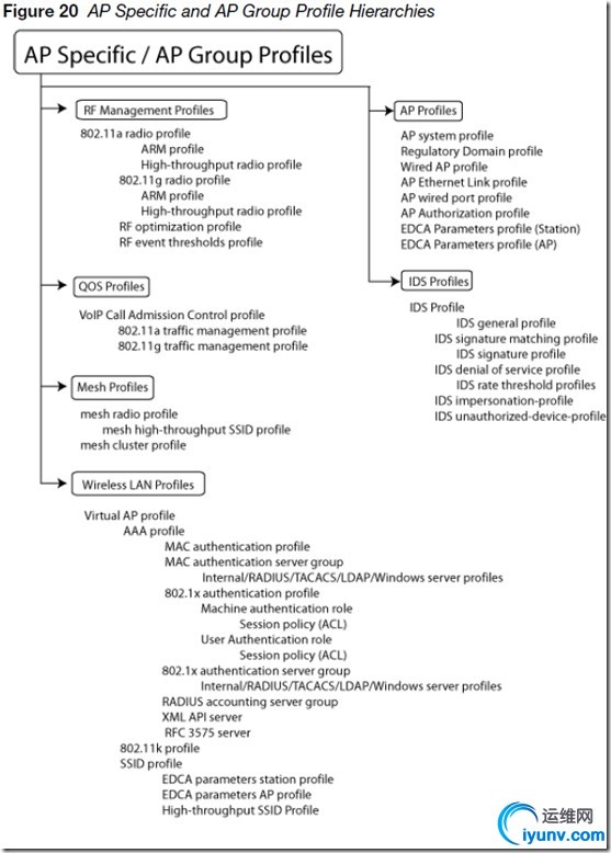
  四、Profiles 层次
  Aruba提供了很多向导可以配置AP,WAC,WLAN等等。如要逐级的进行配置,由于Profile是层层包含的,建议从低层次开始配置。例如:配置一个Virtual AP Profile,由于Virtual AP Profile 包含AAA Profile,802.11K Profile,SSID Profiles等,建议从低级的Profiles进行配置,逐级往上。
  AP和AP组的Profiles层次图如下:
   wKioL1RssRSz_xy4AAIldGNRGm4297.jpg
  上述低层的Profiles都可以被多个AP或者AP组重用,各个Profiles具体的功能见第三节。
        五、应用场景
  1AP向导下配置一个LAN AP(可以是新发现的还未配置的AP,也可以是已经配置过的AP。且可同时配置多个AP)
  1.1、选择配置LAN AP模式:
   wKioL1RssRbCeBxkAAEAj8ySFxw110.jpg
  1.2、选择特定的AP或者多个AP,有4种方式选择AP:1.AP是WAC发现的还未配置的AP,2.AP已经属于一个AP组(已经经过配置),3.可以进行搜索得到特定的AP,4.WAC当前管理的所有AP中选择一个。
   wKiom1RssKHAcVksAAD23b2j4nI324.jpg
  1.3、为AP指定WAC
   wKioL1RssRuxTOFWAACYMPwmfeo026.jpg
  Automatic:根据AP加电起来,发现的WAC,即为AP与其通信的WAC。
  Manual:手动为AP配置一个WAC,For all APs:即为所有的AP配置同一个WAC的IP地址,On a per-AP basis:即为每一个AP配置一个WAC的IP地址。
  1.4、给AP配置获取IP地址的方式(DHCP/静态),扩展天线,及和其他AP的协调工作。
   wKioL1RssRuiI-TuAAC2QL7BK8Q534.jpg
  1.5、给AP分配一个AP组
   wKiom1RssKajtAdvAAGwE7ltQZk106.jpg
  可以把需配置的所有AP分配到同一AP组,也可以分开为每个AP配置特定的AP组。
  配置OK。
  2、配置一个Remote AP
  2.1、选择Remote Ap配置模式
   wKiom1RssKfBELKsAAAxEwBUb4k486.jpg
  2.2、选择需要配置的用户类型
   wKioL1RssSGDeKZoAAEn-6N5OI0427.jpg
  2.3、选择需要进行配置的AP(可以选择多个AP)
   wKioL1RssSKjShEpAACTk_dTiCk812.jpg
  可配置的RAP显示在Whitelist,需要进行手动添加,不能像LAN AP一样自动发现。可点击Add按钮进行添加,也可以在如下进行添加:
   wKioL1RssSah_rvsAAFMYLiOLnA807.jpg
  2.4、选择认证服务器
   wKiom1RssK_jfx05AADlj9HqNgs341.jpg
  2.5、设置AP的WAC地址
   wKiom1RssLDgOAPeAADIxHknjr8336.jpg
  2.6、给AP指定一个AP组
   wKioL1RssSjxZTKtAAAlSr0rNgI319.jpg
  配置OK。
  在2.2中如果选择:
   wKioL1RssSnCPgUSAAGbgC6QvNQ110.jpg
  2.3.1、同1.2选择需要进行配置的APs
  2.4.1、同2.5,设置AP的WAC地址
  2.5.1、同1.4,给AP配置获取IP地址的方式(DHCP/静态),扩展天线,及和其他AP的协调工作。
  2.6.1、指定RAP的认证方式:
   wKioL1RssSuzDoe4AAIShRSOltI746.jpg
  2.7.1、同2.6,给AP指定一个AP组
  配置OK。
  3、配置LAN Mesh
  3.1、选择LAN Mesh模式
   wKioL1RssSzhc_MCAADxCUTj7Tg839.jpg
  3.2、同1.2,选择特定的AP或者多个AP。
  3.3、同1.3,为AP指定WAC。
  3.4、同1.4,给AP配置获取IP地址的方式(DHCP/静态),扩展天线,及和其他AP的协调工作。
  3.5、选择AP在Mesh网络的模式
   wKiom1RssLehyWUMAAJTPDSFsRk393.jpg
  AP在Mesh网络中的节点分为2种:Mesh Portal:Portal相当于Mesh网络和有线网络之间的桥梁。Mesh网络至少需要有一个Portal,可以有多个,当其中一个Down时,Mesh Point可以选择其他的Portal进行连接。Mesh Point:Points相当于Portal的扩展,可以提供Wlan Service,IDS,QOS等等。
   wKiom1RssLjCASlCAAHXnewf02Y845.jpg
  3.6、指定一个AP组。
  配置OK。
  4、配置WLAN
  WLAN包含Virtual AP(AP支持多SSID,所以可以有多个VirtualAP),认证方法,认证服务器等等。
  4.1、选择配置Campus
   wKioL1RssTCjy5OLAAB2UanzrDo757.jpg
  4.2、选择需要配置的AP组,WLAN是包含在AP组中的,每个AP组最多包含8个WLAN。
   wKioL1RssTLB6nJ_AAF_HQ_fzyU378.jpg
  4.3、指定配置给上述选择的AP组的WLAN
   wKioL1RssTPzWxOUAACpY9dWWmc418.jpg
  可以点击New新建一个,也可以到其他的AP组中去Copy一个,或者和其他AP组共享一个WLAN。例:建立一个sangfor_wlan_temp
  4.4、指定AP和WAC之间流量转发方式
   wKiom1RssL2DR-CZAADAELKBbeE480.jpg
  4.5、指定WLAN广播的频带(b/g/n/a),及WLAN的VLAN
   wKioL1RssTXwWGOwAADKixAojbo745.jpg
  4.6、指定使用此WLAN的用户类型:Internel/Guest
   wKioL1RssTmxSrKCAAFE0Fbicbo484.jpg
  4.7、指定此WLAN的认证和加密方式
   wKioL1RssTmzcgzQAAEtrBanA4g501.jpg
  4.8、指定WLAN的认证服务器
   wKiom1RssMTQEL0iAAC10tpOfbo591.jpg
  4.9、指定连接此WLAN的用户的角色
  配置成功以后,在AP组temp下就会添加sangfor_wlan_temp的VirtualAP Profile,SSID Profile,AAA Profile等,如下图:
   wKioL1RssT3iK9HsAACsy4OkONg602.jpg
  5、不使用AP向导配置特定AP的参数
  所有的AP(包括未进行配置(刚由WAC发现),已经正常使用的AP)都显示在AP Installation中,如图:
   wKioL1RssULyfFX5AABOc-MO5jE572.jpg
  编辑某个AP的配置,在复选框中选择需要编辑的AP,点击Provision。
   wKioL1RssUWDNCxpAAClmiBjxtc430.jpg
  可以修改AP所属的AP组,AP的安装模式(indoor/outdoor),天线选择,是否是Remote AP,认证方式,AP名称等等。
  6、给某个特定的AP配置特殊的参数
  每个AP都是属于一个特定的AP组(刚发现的AP,即还未进行配置,则属于default组),AP组中的AP拥有共同的特定(SSID,射频参数等等),如需要给某个特定的AP配置一些不同于它所属AP组的参数,配置如下:
  
  选择需要进行配置的AP,点击Edit,即可进行编辑:
  
  上述的配置即第三节的Profiles,可以任意的修改AP需要的Profiles。只有修改部分会覆盖从AP组继承过来的参数,其他未进行修改的参数继续使用AP组的参数。
  疑问:在上述的配置中,Aruba在Wireless LAN中没有显示当前AP组中包含的VirtualAP,给删除和添加Virtual AP带来了麻烦,如需要删除掉之前AP组中的VirtualAP,则无法在这个编辑页面参考AP组中的配置进行删除。添加亦如此。排除VirtualAP页面,在增加Profile的下拉框中应该只包含当前AP组中的VirtualAP,不应该显示WAC所有VirtualAP。
  六、总结
  Aruba以AP组方式包含AP的所有无线配置参数。以功能划分无线配置参数,使用Profiles保存这些功能划分的小块参数,这些小块的参数可供其他的Profiles进行包含。这样的参数保存方式值得借鉴,它简化了参数保存的复杂度,重用性和灵活性比较高。个人感觉Aruba的参数配置过于复杂(可能这样也是显示它的专业),对于用户来说,可能很多参数根本不知道是什么意思,配置了不知道能起到什么作用。在以后的开发中,建议某些无线参数可以使用默认值的,尽量不需要用户配置,达到简单易用的效果,提高用户的体验度。
                    


运维网声明 1、欢迎大家加入本站运维交流群:群②:261659950 群⑤:202807635 群⑦870801961 群⑧679858003
2、本站所有主题由该帖子作者发表,该帖子作者与运维网享有帖子相关版权
3、所有作品的著作权均归原作者享有,请您和我们一样尊重他人的著作权等合法权益。如果您对作品感到满意,请购买正版
4、禁止制作、复制、发布和传播具有反动、淫秽、色情、暴力、凶杀等内容的信息,一经发现立即删除。若您因此触犯法律,一切后果自负,我们对此不承担任何责任
5、所有资源均系网友上传或者通过网络收集,我们仅提供一个展示、介绍、观摩学习的平台,我们不对其内容的准确性、可靠性、正当性、安全性、合法性等负责,亦不承担任何法律责任
6、所有作品仅供您个人学习、研究或欣赏,不得用于商业或者其他用途,否则,一切后果均由您自己承担,我们对此不承担任何法律责任
7、如涉及侵犯版权等问题,请您及时通知我们,我们将立即采取措施予以解决
8、联系人Email:admin@iyunv.com 网址:www.yunweiku.com

所有资源均系网友上传或者通过网络收集,我们仅提供一个展示、介绍、观摩学习的平台,我们不对其承担任何法律责任,如涉及侵犯版权等问题,请您及时通知我们,我们将立即处理,联系人Email:kefu@iyunv.com,QQ:1061981298 本贴地址:https://www.iyunv.com/thread-31553-1-1.html 上篇帖子: ARUBA无线移动网络产品和与CISCO无线产品比较 下篇帖子: ARUBA无线控制器内置网管功能介绍 无线
您需要登录后才可以回帖 登录 | 立即注册

本版积分规则

扫码加入运维网微信交流群X

扫码加入运维网微信交流群

扫描二维码加入运维网微信交流群,最新一手资源尽在官方微信交流群!快快加入我们吧...

扫描微信二维码查看详情

客服E-mail:kefu@iyunv.com 客服QQ:1061981298


QQ群⑦:运维网交流群⑦ QQ群⑧:运维网交流群⑧ k8s群:运维网kubernetes交流群


提醒:禁止发布任何违反国家法律、法规的言论与图片等内容;本站内容均来自个人观点与网络等信息,非本站认同之观点.


本站大部分资源是网友从网上搜集分享而来,其版权均归原作者及其网站所有,我们尊重他人的合法权益,如有内容侵犯您的合法权益,请及时与我们联系进行核实删除!



合作伙伴: 青云cloud

快速回复 返回顶部 返回列表