设为首页 收藏本站
查看: 972|回复: 0

[经验分享] 机器学习算法与Python实践之(三)支持向量机(SVM)进阶

[复制链接]

尚未签到

发表于 2017-5-8 09:56:12 | 显示全部楼层 |阅读模式
  机器学习算法与Python实践之(三)支持向量机(SVM)进阶
  zouxy09@qq.com
  http://blog.csdn.net/zouxy09
  
     机器学习算法与Python实践这个系列主要是参考《机器学习实战》这本书。因为自己想学习Python,然后也想对一些机器学习算法加深下了解,所以就想通过Python来实现几个比较常用的机器学习算法。恰好遇见这本同样定位的书籍,所以就参考这本书的过程来学习了。
     在这一节我们主要是对支持向量机进行系统的回顾,以及通过Python来实现。由于内容很多,所以这里分成三篇博文。第一篇讲SVM初级,第二篇讲进阶,主要是把SVM整条知识链理直,第三篇介绍Python的实现。SVM有很多介绍的非常好的博文,具体可以参考本文列出的参考文献和推荐阅读资料。在本文中,定位在于把集大成于一身的SVM的整体知识链理直,所以不会涉及细节的推导。网上的解说的很好的推导和书籍很多,大家可以进一步参考。
  
  目录
  一、引入
  二、线性可分SVM与硬间隔最大化
  三、Dual优化问题
     3.1、对偶问题
     3.2、SVM优化的对偶问题
  四、松弛向量与软间隔最大化
  五、核函数
  六、多类分类之SVM
     6.1、“一对多”的方法
     6.2、“一对一”的方法
  七、KKT条件分析
  八、SVM的实现之SMO算法
     8.1、坐标下降算法
     8.2、SMO算法原理
     8.3、SMO算法的Python实现
  九、参考文献与推荐阅读
  
  五、核函数
     如果我们的正常的样本分布如下图左边所示,之所以说是正常的指的是,不是上面说的那样由于某些顽固的离群点导致的线性不可分。它是真的线性不可分。样本本身的分布就是这样的,如果也像样本那样,通过松弛变量硬拉一条线性分类边界出来,很明显这条分类面会非常糟糕。那怎么办呢?SVM对线性可分数据有效,对不可分的有何应对良策呢?是核方法(kernel trick)大展身手的时候了。
DSC0000.jpg

     如上图右,如果我们可以把我们的原始样本点通过一个变换,变换到另一个特征空间,在这个特征空间上是线性可分的,那么上面的SVM就可以轻易工作了。也就是说,对于不可分的数据,现在我们要做两个工作:
  1)首先使用一个非线性映射Φ(x)将全部原始数据x变换到另一个特征空间,在这个空间中,样本变得线性可分了;
  2)然后在特征空间中使用SVM进行学习分类。
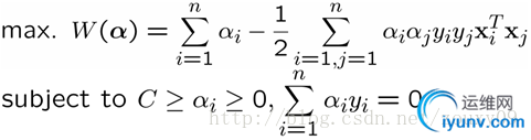
     好了,第二个工作没什么好说的,和前面的一样。那第一个粗重活由谁来做呢?我们怎么知道哪个变换才可以将我们的数据映射为线性可分呢?数据维度那么大,我们又看不到。另外,这个变换会不会使第二步的优化变得复杂,计算量更大呢?对于第一个问题,有个著名的cover定理:将复杂的模式分类问题非线性地投射到高维空间将比投射到低维空间更可能是线性可分的。OK,那容易了,我们就要找到一个所有样本映射到更高维的空间的映射。对不起,其实要找到这个映射函数很难。但是,支持向量机并没有直接寻找和计算这种复杂的非线性变换,而是很智慧的通过了一种巧妙的迂回方法来间接实现这种变换。它就是核函数,不仅具备这种超能力,同时又不会增加太多计算量的两全其美的方法。我们可以回头看看上面SVM的优化问题:
DSC0001.jpg

     可以看到,对样本x的利用,只是计算第i和第j两个样本的内积就可以了。
DSC0002.jpg

     对于分类决策函数,也是计算两个样本的内积。也就是说,训练SVM和使用SVM都用到了样本间的内积,而且只用到内积。那如果我们可以找到一种方法来计算两个样本映射到高维空间后的内积的值就可以了。核函数就是完成这伟大的使命的:
  K(xi, xj)=Φ(xi)T Φ(xj)
     也就是两个样本xixj对应的高维空间的内积Φ(xi)T Φ(xj)通过一个核函数K(xi, xj)计算得到。而不用知道这个变换Φ(x)是何许人也。而且这个核函数计算很简单,常用的一般是径向基RBF函数:
DSC0003.jpg

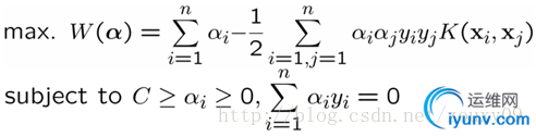
   这时候,我们的优化的对偶问题就变成了:
DSC0004.jpg

     和之前的优化问题唯一的不同只是样本的内积需要用核函数替代而已。优化过程没有任何差别。而决策函数变成了:
DSC0005.jpg

      也就是新来的样本x和我们的所有训练样本计算核函数即可。需要注意的是,因为大部分样本的拉格朗日因子αi都是0,所以其实我们只需要计算少量的训练样本和新来的样本的核函数,然后求和取符号即可完成对新来样本x的分类了。支持向量机的决策过程也可以看做一种相似性比较的过程。首先,输入样本与一系列模板样本进行相似性比较,模板样本就是训练过程决定的支持向量,而采用的相似性度量就是核函数。样本与各支持向量比较后的得分进行加权后求和,权值就是训练时得到的各支持向量的系数αi和类别标号的成绩。最后根据加权求和值大小来进行决策。而采用不同的核函数,就相当于采用不同的相似度的衡量方法。
     从计算的角度,不管Φ(x)变换的空间维度有多高,甚至是无限维(函数就是无限维的),这个空间的线性支持向量机的求解都可以在原空间通过核函数进行,这样就可以避免了高维空间里的计算,而计算核函数的复杂度和计算原始样本内积的复杂度没有实质性的增加。
     到这里,忍不住要感叹几声。为什么“碰巧”SVM里需要计算的地方数据向量总是以内积的形式出现?为什么“碰巧”存在能简化映射空间中的内积运算的核函数?为什么“碰巧”大部分的样本对决策边界的贡献为0?…该感谢上帝,还是感谢广大和伟大的科研工作者啊!让我等凡夫俗子可以瞥见如此精妙和无与伦比的数学之美!
     到这里,和支持向量机相关的东西就介绍完了。总结一下:支持向量机的基本思想可以概括为,首先通过非线性变换将输入空间变换到一个高维的空间,然后在这个新的空间求最优分类面即最大间隔分类面,而这种非线性变换是通过定义适当的内积核函数来实现的。SVM实际上是根据统计学习理论依照结构风险最小化的原则提出的,要求实现两个目的:1)两类问题能够分开(经验风险最小)2)margin最大化(风险上界最小)既是在保证风险最小的子集中选择经验风险最小的函数。
  
  六、多类分类之SVM
     SVM是一种典型的两类分类器,即它只回答属于正类还是负类的问题。而现实中要解决的问题,往往是多类的问题。那如何由两类分类器得到多类分类器呢?
  6.1、“一对多”的方法
     One-Against-All这个方法还是比较容易想到的。就是每次仍然解一个两类分类的问题。比如我们5个类别,第一次就把类别1的样本定为正样本,其余2,3,4,5的样本合起来定为负样本,这样得到一个两类分类器,它能够指出一个样本是还是不是第1类的;第二次我们把类别2 的样本定为正样本,把1,3,4,5的样本合起来定为负样本,得到一个分类器,如此下去,我们可以得到5个这样的两类分类器(总是和类别的数目一致)。到了有样本需要分类的时候,我们就拿着这个样本挨个分类器的问:是属于你的么?是属于你的么?哪个分类器点头说是了,文章的类别就确定了。这种方法的好处是每个优化问题的规模比较小,而且分类的时候速度很快(只需要调用5个分类器就知道了结果)。但有时也会出现两种很尴尬的情况,例如拿这个样本问了一圈,每一个分类器都说它是属于它那一类的,或者每一个分类器都说它不是它那一类的,前者叫分类重叠现象,后者叫不可分类现象。分类重叠倒还好办,随便选一个结果都不至于太离谱,或者看看这篇文章到各个超平面的距离,哪个远就判给哪个。不可分类现象就着实难办了,只能把它分给第6个类别了……更要命的是,本来各个类别的样本数目是差不多的,但“其余”的那一类样本数总是要数倍于正类(因为它是除正类以外其他类别的样本之和嘛),这就人为的造成了上一节所说的“数据集偏斜”问题。
     如下图左。红色分类面将红色与其他两种颜色分开,绿色分类面将绿色与其他两种颜色分开,蓝色分类面将蓝色与其他两种颜色分开。
DSC0006.jpg

     在这里的对某个点的分类实际上是通过衡量这个点到三个决策边界的距离,因为到分类面的距离越大,分类越可信嘛。当然了,这个距离是有符号的,如下所示:
DSC0007.jpg

   例如下图左,将星星这个点划分给绿色这一类。右图将星星这个点划分给褐色这一类。

DSC0008.jpg

  6.2、“一对一”的方法
     One-Against-One方法是每次选一个类的样本作正类样本,而负类样本则变成只选一个类(称为“一对一单挑”的方法,哦,不对,没有单挑,就是“一对一”的方法,呵呵),这就避免了偏斜。因此过程就是算出这样一些分类器,第一个只回答“是第1类还是第2类”,第二个只回答“是第1类还是第3类”,第三个只回答“是第1类还是第4类”,如此下去,你也可以马上得出,这样的分类器应该有5 X 4/2=10个(通式是,如果有k个类别,则总的两类分类器数目为k(k-1)/2)。虽然分类器的数目多了,但是在训练阶段(也就是算出这些分类器的分类平面时)所用的总时间却比“一类对其余”方法少很多,在真正用来分类的时候,把一个样本扔给所有分类器,第一个分类器会投票说它是“1”或者“2”,第二个会说它是“1”或者“3”,让每一个都投上自己的一票,最后统计票数,如果类别“1”得票最多,就判这篇文章属于第1类。这种方法显然也会有分类重叠的现象,但不会有不可分类现象,因为总不可能所有类别的票数都是0。如下图右,中间紫色的块,每类的得票数都是1,那就不知道归类给那个类好了,只能随便扔给某个类了(或者衡量这个点到三个决策边界的距离,因为到分类面的距离越大,分类越可信嘛),扔掉了就是你命好,扔错了就不lucky了。
DSC0009.jpg

  
  七、KKT条件分析
     对KKT条件,请大家参考文献[13][14]。假设我们优化得到的最优解是:αi*,βi*, ξi*, w*和b*。我们的最优解需要满足KKT条件:
DSC00010.jpg

     同时βi*ξi*都需要大于等于0,而αi*需要在0和C之间。那可以分三种情况讨论:
DSC00011.jpg

     总的来说就是, KKT条件就变成了:
DSC00012.jpg

     第一个式子表明如果αi=0,那么该样本落在两条间隔线外。第二个式子表明如果αi=C,那么该样本有可能落在两条间隔线内部,也有可能落在两条间隔线上面,主要看对应的松弛变量的取值是等于0还是大于0,第三个式子表明如果0<αi<C,那么该样本一定落在分隔线上(这点很重要,b就是拿这些落在分隔线上的点来求的,因为在分割线上wTx+b=1或者-1嘛,才是等式,在其他地方,都是不等式,求解不了b)。具体形象化的表示如下:
DSC00013.jpg

     通过KKT条件可知,αi不等于0的都是支持向量,它有可能落在分隔线上,也有可能落在两条分隔线内部。KKT条件是非常重要的,在SMO也就是SVM的其中一个实现算法中,我们可以看到它的重要应用。
  

运维网声明 1、欢迎大家加入本站运维交流群:群②:261659950 群⑤:202807635 群⑦870801961 群⑧679858003
2、本站所有主题由该帖子作者发表,该帖子作者与运维网享有帖子相关版权
3、所有作品的著作权均归原作者享有,请您和我们一样尊重他人的著作权等合法权益。如果您对作品感到满意,请购买正版
4、禁止制作、复制、发布和传播具有反动、淫秽、色情、暴力、凶杀等内容的信息,一经发现立即删除。若您因此触犯法律,一切后果自负,我们对此不承担任何责任
5、所有资源均系网友上传或者通过网络收集,我们仅提供一个展示、介绍、观摩学习的平台,我们不对其内容的准确性、可靠性、正当性、安全性、合法性等负责,亦不承担任何法律责任
6、所有作品仅供您个人学习、研究或欣赏,不得用于商业或者其他用途,否则,一切后果均由您自己承担,我们对此不承担任何法律责任
7、如涉及侵犯版权等问题,请您及时通知我们,我们将立即采取措施予以解决
8、联系人Email:admin@iyunv.com 网址:www.yunweiku.com

所有资源均系网友上传或者通过网络收集,我们仅提供一个展示、介绍、观摩学习的平台,我们不对其承担任何法律责任,如涉及侵犯版权等问题,请您及时通知我们,我们将立即处理,联系人Email:kefu@iyunv.com,QQ:1061981298 本贴地址:https://www.iyunv.com/thread-374514-1-1.html 上篇帖子: 机器学习算法与Python实践之(四)支持向量机(SVM)实现 下篇帖子: Python爬虫框架Scrapy实战之定向批量获取职位招聘信息
您需要登录后才可以回帖 登录 | 立即注册

本版积分规则

扫码加入运维网微信交流群X

扫码加入运维网微信交流群

扫描二维码加入运维网微信交流群,最新一手资源尽在官方微信交流群!快快加入我们吧...

扫描微信二维码查看详情

客服E-mail:kefu@iyunv.com 客服QQ:1061981298


QQ群⑦:运维网交流群⑦ QQ群⑧:运维网交流群⑧ k8s群:运维网kubernetes交流群


提醒:禁止发布任何违反国家法律、法规的言论与图片等内容;本站内容均来自个人观点与网络等信息,非本站认同之观点.


本站大部分资源是网友从网上搜集分享而来,其版权均归原作者及其网站所有,我们尊重他人的合法权益,如有内容侵犯您的合法权益,请及时与我们联系进行核实删除!



合作伙伴: 青云cloud

快速回复 返回顶部 返回列表