设为首页 收藏本站
查看: 1625|回复: 0

[经验分享] Python基础(一)

[复制链接]

尚未签到

发表于 2018-8-15 11:32:30 | 显示全部楼层 |阅读模式
Python基础(一)
  本章内容:

  •   Python 的种类
  •   Python 的环境
  •   Python 入门(解释器、编码、pyc文件、脚步传入参数、变量、输入、流程控制与缩进、while循环)
  •   练习题
  Python 的种类
  

  •   Cpython
  Python的官方版本,使用C语言实现,使用最为广泛,CPython实现会将源文件(py文件)转换成字节码文件(pyc文件),然后运行在Python虚拟机上。

  •   Jyhton
  Python的Java实现,Jython会将Python代码动态编译成Java字节码,然后在JVM上运行。

  •   IronPython
  Python的C#实现,IronPython将Python代码编译成C#字节码,然后在CLR上运行。(与Jython类似)

  •   PyPy(特殊)
  Python实现的Python,将Python的字节码字节码再编译成机器码。

  •   RubyPython、Brython ...
  
  python的环境
  
  
  Windows:
  下载地址:https://www.python.org/downloads/
  Linux:
  自带python环境
#python -V 查看python版本  
nick-suo@ubuntu:~$ python -V
  
Python 2.7.6
  
nick-suo@ubuntu:~$ python3 -V
  
Python 3.4.0
  
nick-suo@ubuntu:~$
  更新python环境
1、安装gcc,用于编译Python源码  
    yum install gcc
  
2、下载源码包,https://www.python.org/ftp/python/
  
3、解压并进入源码文件
  
4、编译安装
  
    ./configure
  
    make all
  
    make install
  
5、查看版本
  
    /usr/local/bin/python2.7 -V
  
6、修改默认Python版本
  
    mv /usr/bin/python /usr/bin/python2.6
  
    ln -s /usr/local/bin/python2.7 /usr/bin/python
  
7、防止yum执行异常,修改yum使用的Python版本
  
    vi /usr/bin/yum
  
    将头部 #!/usr/bin/python 修改为 #!/usr/bin/python2.6
  
  python入门
  
  一、'Hello World!'
#python2的写法  
print "Hello World!"
  

  
#python3的写法
  
print("Hello World!")
  
  二、执行(解释器)、退出
  明确的指出 hello.py 脚本由 python 解释器来执行。
nick-suo@ubuntu:/blogs$ cat hello.py  
#!/usr/bin/env python
  
print("Hello World!")
  

  
nick-suo@ubuntu:/blogs$ sudo chmod +x hello.py
  
nick-suo@ubuntu:/blogs$ ./hello.py
  
Hello World!
  
nick-suo@ubuntu:/blogs$
  

  
#########################
  

  
程序可以通过抛出SystemExit异常来请求退出。
  

  
>>> raise SystemExit
  三、编码
  python解释器在加载 .py 文件中的代码时,会对内容进行编码(默认ascill)
  ASCII(American Standard Code for Information Interchange,美国标准信息交换代码)是基于拉丁字母的一套电脑编码系统,主要用于显示现代英语和其他西欧语言,其最多只能用 8 位来表示(一个字节),即:2**8 = 256,所以,ASCII码最多只能表示 256 个符号。
  显然ASCII码无法将世界上的各种文字和符号全部表示,所以,就需要新出一种可以代表所有字符和符号的编码,即:Unicode
  Unicode(统一码、万国码、单一码)是一种在计算机上使用的字符编码。Unicode 是为了解决传统的字符编码方案的局限而产生的,它为每种语言中的每个字符设定了统一并且唯一的二进制编码,规定虽有的字符和符号最少由 16 位来表示(2个字节),即:2 **16 = 65536,
  注:此处说的的是最少2个字节,可能更多
  UTF-8,是对Unicode编码的压缩和优化,他不再使用最少使用2个字节,而是将所有的字符和符号进行分类:ascii码中的内容用1个字节保存、欧洲的字符用2个字节保存,东亚的字符用3个字节保存...
  告诉python解释器,用什么编码来执行代码:
nick-suo@ubuntu:/blogs$ cat hello.py  
#!/usr/bin/env python
  
#-*- coding:utf-8 -*-
  
print("你好 世界!")
  

  
nick-suo@ubuntu:/blogs$ python3 hello.py
  
你好 世界!
  
nick-suo@ubuntu:/blogs$
  四、注释
  单行注释:#Nick
  多行注释:'''Nick'''
#Nick  

  
'''
  
Nick
  
Nick
  
Nick
  
'''
  五、pyc文件
  执行Python代码时,如果导入了其他的 .py 文件,那么,执行过程中会自动生成一个与其同名的 .pyc 文件,该文件就是Python解释器编译之后产生的字节码。
  六、脚步传入参数
  Python有大量的模块,从而使得开发Python程序非常简洁。类库有包括三中:

  •   Python内部提供的模块
  •   业内开源的模块
  •   程序员自己开发的模块
  Python内部提供一个 sys 的模块,其中的 sys.argv 用来捕获执行执行python脚本时传入的参数
#!/usr/bin/env python  
#-*- coding:utf-8 -*-
  

  
import sys
  

  
print("sys.argv")
  七、变量
  1、声明变量
#!/usr/bin/env python  
#-*- coding:utf-8 -*-
  

  
#声明变量name,值为"Nick"
  
name = "Nick"
  变量的作用:昵称其代指内存里某个地址中保存的内容
DSC0000.png

  变量定义的规则:

  •   变量名只能是 字母、数字或下划线的任意组合
  •   变量名的第一个字符不能是数字
  •   以下关键字不能声明为变量名
  •   ['and', 'as', 'assert', 'break', 'class', 'continue', 'def', 'del', 'elif', 'else', 'except', 'exec', 'finally', 'for', 'from', 'global', 'if', 'import', 'in', 'is', 'lambda', 'not', 'or', 'pass', 'print', 'raise', 'return', 'try', 'while', 'with', 'yield']
  2、变量的赋值
#!/usr/bin/env python  
#-*- coding:utf-8 -*-
  

  
name1 = "Nick"
  
name2 = "Suo"
DSC0001.png

#!/usr/bin/env python  
#-*- coding:utf-8 -*-
  

  
name1 = "Nick"
  
name2 = name1
DSC0002.png

  八、输入
  输入用户名
#!/usr/bin/env python  
#-*- coding:utf-8 -*-
  

  
#将用户输入的内容赋值给name变量
  
name = raw_input("请输入用户名:")
  
print name
  

  
#python3的写法
  
name = input("请输入用户名:")
  
print(name)
  输入密码时,如果想要不可见,需要利用getpass 模块中的 getpass方法,即:
#!/usr/bin/env python  
#-*- coding:utf-8 -*-
  

  
import getpass
  

  
pwd = getpass.getpass("请输入密码:")
  
print(pwd)
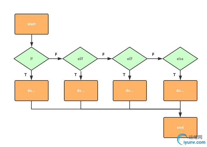
  九、流程控制与缩进
   DSC0003.png
  用户登录验证与输出相应内容
#!/usr/bin/env python  
#-*- coding:utf-8 -*-
  

  
import getpass
  

  
name = input("请输入用户名:")
  
pwd = getpass.getpass("请输入密码:")
  

  
if name == "nick" and pwd == "nick":
  
    print("Welcome, nick.")
  
elif name == "Suo" and pwd == "Suo":
  
    print("Welcome, Suo.")
  
elif name == "test":
  
    print("Hi, test.")
  
else:
  
    print("Sorry, please try angin.")
  
  十、while循环
DSC0004.gif

  1、基本循环
while 条件:  

  
    # 循环体
  

  
    # 如果条件为真,那么循环则执行
  
    # 如果条件为假,那么循环不执行
  2、break
  break 用于退出当层循环
#!/usr/bin/env python  
#-*- coding:utf-8 -*-
  

  
num = 1
  
while num <6:
  
    print(num)
  
    num+=1
  
    break
  
    print("end")
  3、continue
  continue 用于退出当前循环,继续下一次循环
#!/usr/bin/env python  
#-*- coding:utf-8 -*-
  

  
num = 1
  
while num <6:
  
    print(num)
  
    num+=1
  
    continue
  
    print("end")
  练习题
  求1-2+3-4+5 ... 99的所有数的和
  方法一:
num = 1  
num2 = 2
  
num3 = num - num2
  
while True:
  
    num+=2
  
    num2+=2
  
    num3 = num3 + num
  
    if num == 99:
  
        break
  
    num3 = num3 - num2
  
print(num3)
  方法二:
sum = 1  
s = 0
  
while True:
  
    s = s + sum
  
    if sum == 99:
  
        break
  
    sum+=2
  

  
sum1 = 0
  
s1 = 0
  
while True:
  
    s1 = s1 + sum1
  
    if sum1 == 98:
  
        break
  
    sum1 += 2
  

  
print(s - s1)
  方法三:
sum = 0  
start = 1
  
while start < 100:
  
    temp = start % 2
  
    if temp == 1:
  
        sum = sum +start
  
    else:
  
        sum = sum - start
  
    start += 1
  
print(sum)
s = ""  
sum = 0
  
start = 1
  
while start < 100:
  
    temp = start % 2
  
    if temp == 1:
  
        if start == 1:
  
            s = str(start)
  
        else:
  
            s = s + "+" + str(start)
  
        sum = sum +start
  
    else:
  
        s = s + "-" + str(start)
  
        sum = sum - start
  
    start += 1
  
print(s)
  
print(sum)
  方法四:
sum=1  
s=0
  
while sum<100:
  
    s=s+sum*(-1)**(sum+1)
  
    sum+=1
  
print(s)
  方法五:
#排除99,剩余49组1-2  
print(49*(1-2)+99)

运维网声明 1、欢迎大家加入本站运维交流群:群②:261659950 群⑤:202807635 群⑦870801961 群⑧679858003
2、本站所有主题由该帖子作者发表,该帖子作者与运维网享有帖子相关版权
3、所有作品的著作权均归原作者享有,请您和我们一样尊重他人的著作权等合法权益。如果您对作品感到满意,请购买正版
4、禁止制作、复制、发布和传播具有反动、淫秽、色情、暴力、凶杀等内容的信息,一经发现立即删除。若您因此触犯法律,一切后果自负,我们对此不承担任何责任
5、所有资源均系网友上传或者通过网络收集,我们仅提供一个展示、介绍、观摩学习的平台,我们不对其内容的准确性、可靠性、正当性、安全性、合法性等负责,亦不承担任何法律责任
6、所有作品仅供您个人学习、研究或欣赏,不得用于商业或者其他用途,否则,一切后果均由您自己承担,我们对此不承担任何法律责任
7、如涉及侵犯版权等问题,请您及时通知我们,我们将立即采取措施予以解决
8、联系人Email:admin@iyunv.com 网址:www.yunweiku.com

所有资源均系网友上传或者通过网络收集,我们仅提供一个展示、介绍、观摩学习的平台,我们不对其承担任何法律责任,如涉及侵犯版权等问题,请您及时通知我们,我们将立即处理,联系人Email:kefu@iyunv.com,QQ:1061981298 本贴地址:https://www.iyunv.com/thread-552166-1-1.html 上篇帖子: linux 安装python3-11456759 下篇帖子: redhat python3.4安装步骤
您需要登录后才可以回帖 登录 | 立即注册

本版积分规则

扫码加入运维网微信交流群X

扫码加入运维网微信交流群

扫描二维码加入运维网微信交流群,最新一手资源尽在官方微信交流群!快快加入我们吧...

扫描微信二维码查看详情

客服E-mail:kefu@iyunv.com 客服QQ:1061981298


QQ群⑦:运维网交流群⑦ QQ群⑧:运维网交流群⑧ k8s群:运维网kubernetes交流群


提醒:禁止发布任何违反国家法律、法规的言论与图片等内容;本站内容均来自个人观点与网络等信息,非本站认同之观点.


本站大部分资源是网友从网上搜集分享而来,其版权均归原作者及其网站所有,我们尊重他人的合法权益,如有内容侵犯您的合法权益,请及时与我们联系进行核实删除!



合作伙伴: 青云cloud

快速回复 返回顶部 返回列表